產品介紹
所在位置:首頁 - 產品介紹
頭孢克洛分散片說明書
請仔細閱讀說明書并在醫師指導下使用
【藥品名稱】
通用名:頭孢克洛分散片
英文名:Cefaclor Dispersible Tablets
漢語拼音:Toubaokeluo Fensan Pian
【成份】本品主要成份為:頭孢克洛
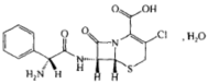
化學名稱為:(6R,7R)-7-[(R )-2-氨基-2-苯乙酰氨基]-3-氯-8-氧代-5-硫雜-1-氮雜雙環[4.2.0]辛-2-烯-2-甲酸一水合物。
化學結構式:

分子式:C15H14ClN3O4S•H2O
分子量:385.82
【性狀】 本品為白色或淡黃色片。
【適應癥】本品適用于治療下列敏感菌株引起的感染:
中耳炎:由肺炎雙球菌、流感嗜血桿菌、葡萄球菌、化膿性鏈球菌(A組β溶血性鏈球菌)和卡他莫拉氏菌引起。
下呼吸道感染(包括肺炎):由肺炎雙球菌、流感嗜血桿菌、化膿性鏈球菌(A組β溶血性鏈球菌)和卡他莫拉氏菌引起。
上呼吸道感染(包括咽炎和扁桃體炎):由化膿性鏈球菌(A組β溶血性鏈球菌)和卡他莫拉氏菌引起。
注:青霉素是治療和預防鏈球菌感染(包括預防風濕熱)的常用藥,美國心臟協會推薦羧氨芐青霉素(Amoxicillin)作為預防牙科、口腔和上呼吸道感染引起的細菌性心內膜炎的藥物,在此方面,對于預防α溶血性鏈球菌感染,青霉素V是合理的選擇。一般說來頭孢克洛對于消滅鼻咽部的鏈球菌有效,然而,對于預防繼發性風濕熱或細菌性心內膜炎,目前尚無證實頭孢克洛療效的重要數據。治療β溶血性鏈球菌感染時,至少應給予10天的頭孢克洛治療量。
尿道感染(包括腎盂腎炎和膀胱炎):由大腸桿菌、奇異變形桿菌、克雷白氏桿菌屬和凝固酶陰性的葡萄球菌引起。
注:頭孢克洛對急性和慢性尿道感染都有效。
皮膚和皮膚組織感染:由金葡球菌和化膿性鏈球菌(A組β溶血性鏈球菌)引起。
鼻竇炎
淋球菌性尿道炎
應進行適當的組織培養和敏感性研究,以測定致病菌對頭孢克洛的敏感性。
【規格】 按C15H14ClN3O4S計(1)0.125g (2)0.25g
【用法用量】 吞服或加水分散后口服。
成人:成人常用劑量是0.25g,每8小時一次。支氣管炎和肺炎的劑量是0.25g一次,每日三次。鼻竇炎推薦劑量為0.25g一 次,每日三次,共10日。較重的感染(如肺炎)或敏感性稍差的細菌引起的感染,劑量可加倍。每日4g的劑量曾在正常人安全地用了28日,但每日總量不宜超過此量。
治療男性和女性急性淋球菌尿道炎,可給予一次3g的劑量,與丙磺舒1g聯合使用。
【不良反應】與頭孢克洛治療有關的不良反應有:
過敏反應:根據報道,約占病人的1.5%,包括蕁麻疹樣皮疹(1/100)。瘙癢、蕁麻疹和庫姆斯試驗陽性,發生率均在1/200以下。
曾有報道,使用頭孢克洛會發生血清病樣反應。這種反應的特點是出現多形性紅斑、皮疹及其它伴有關節炎/關節痛的皮膚表現,發熱或無發熱。與典型的血清病不同之處在于很少與淋巴結病和蛋白尿有關,沒有進入循環的免疫復合物,并且無反應后遺癥的跡象。人們正在進行深入的研究,血清病樣反應似乎是由于過敏,常常發生于頭孢克洛第二療程期間或正在進入第二療程時。據報道,兒童比成年人更常發生此類反應,總發生率在一次集中試驗200例中有1例(0.5%),在總的臨床試驗8346例中有2例(0.024%)[在各次臨床試驗中兒童的發生率為0.055%,在副作用的自動報告38000例中有1例(0.003%)]。在治療開始后幾天出現的體征和綜合癥,停止治療后幾天消退。這類反應偶爾會導致病人住院,但住院時間通常很短(根據上市后監測研究,平均住院時間為2-3天)。在這些需要住院的病人中,入院時其綜合癥從輕微至嚴重不等,兒童中嚴重反應發生率較大。抗組胺劑和糖皮質激素似乎增強體征和綜合癥的緩解。未見有嚴重后遺癥的報道。更為嚴重的過敏反應(包括Stevens-Johnson綜合癥、毒性上皮壞死溶解和過敏癥)罕見報道,有青霉素過敏史的病人,可能更常發生過敏反應。
胃腸道綜合癥:發生率約2.5%,其中包括腹瀉(70例中占1例)。曾有惡心、嘔吐的報道。
偽膜性結腸炎綜合癥,可能在抗生素治療期間或之后出現。有報道,在使用大量廣譜抗生素后,會引起偽膜性腸炎。暫時性肝炎,罕見于報道。膽汁郁積性黃疸曾有報道。
其它與治療有關的副作用包括:嗜曙紅細胞增多(50例中有1例)。生殖器瘙癢或陰道炎(100例中不足1例),血小板減少、間質性腎炎有報道。念珠菌病曾有報道。
因果關系未明確:
中樞神經系統副作用:機能亢進、神經過敏、失眠、精神錯亂、高血壓、頭暈、幻覺和嗜睡,這些均罕見于報道。
曾有報道,臨床實驗室試驗結果存在暫時異常值。雖然其病因未明,仍列舉于下,作為提請醫師注意的信息。
肝臟副作用:AST(SGOT)、ALT(SGPT)或堿性磷酸酶值稍微升高(后者40例中有1例)。異常的肝功試驗曾有報道。
造血系統:正如其它β-內酰胺類抗生素的報道一樣,本品可引起短暫性淋巴細胞增多、白細胞減少。罕見引起溶血性貧血、再障性貧血。粒細胞缺乏癥、中性粒細胞減少、嗜酸粒細胞增多、血管性水腫曾有報道。
腎臟:BUN或血清肌酐水平稍微升高(后者人數不到1/500)或尿分析異常(人數不到1/200)。異常的腎功能試驗曾有報道。
某些頭孢菌素可以引起癲癇病,特別是腎功能不全病人又未減少劑量時,如果發生與藥物治療有關的癲癇,應該停藥。如果臨床需要,可給予抗驚厥藥。
【禁忌】 對本品及其他頭孢菌素類過敏者禁用。
【注意事項】一般注意事項:長期使用頭孢克洛,會使不敏感菌株大量繁殖。因此,對病人細心觀察是必不可少的。如果治療期間發生二重感染,必須采取適當措施。
曾有報道,用頭孢菌素類抗生素治療期間,庫姆斯氏試驗呈直接陽性。有報道,在使用頭孢克洛治療時,發現庫姆斯試驗呈直接陽性。必須認識到,例如在血液學研究或在輸血的交叉配血過程中(當進行抗球蛋白試驗時)或對其母親在分娩前服過頭孢菌素的新生兒進行庫姆斯氏試驗,庫姆斯氏試驗呈陽性可能與藥物有關。
存在嚴重腎功能不全時要慎用頭孢克洛,因為頭孢克洛在無尿癥病人體內的半衰期為2.3-2.8小時。對于中度至嚴重腎功能受損病人,劑量通常不變。在這種情況下,頭孢克洛的臨床經驗有限,因此,應進行仔細的臨床觀察和實驗室研究。
對于有胃腸道病史(特別是結腸炎)的病人,使用抗生素(包括頭孢菌素)要慎重。
警告:在使用頭孢克洛之前,要注意確定病人以前是否對頭孢克洛或其它頭孢菌素、青霉素或其它藥物過敏。如果本品用于對青霉素過敏的病人,要加以注意,因為文獻清楚地報道在β-內酰胺類抗生素中會產生交叉過敏(包括過敏反應)。
如果發生對頭孢克洛的過敏反應,應立即停藥。如果有必要,應使用適當的藥物(例如加壓胺、抗組胺藥或皮質類固醇類藥)來治療。
對于顯示某種類型過敏(尤其對藥物)的病人,應慎用抗生素(包括頭孢克洛)。
已有報道,實際上使用所有的廣譜抗生素(包含大環內酯類抗生素、半合成青霉素和頭孢菌素),都會產生偽膜性結腸炎。
因此,若使用抗生素的病人發生腹瀉,考慮到這一種診斷是很重要的。這種結腸炎的程度從輕微至危及生命,程度不同,對于輕微的偽膜性結腸炎病例,通常僅僅是停藥就能奏效,對于中度至嚴重病例,就應采取適當的治療措施。
【孕婦及哺乳期婦女用藥】
孕期服用:對小鼠和大鼠進行多次的生殖研究,劑量高達人用量的12倍,對白鼬的研究劑量為人最大用量的三倍。結果表明沒有頭孢克洛損害生育力或危及胎兒的任何證據。然而,對孕婦尚無適當的、很好對照的臨床研究。因為動物生殖研究
并不能永遠預言人體的反應,所以除非急需,孕期是不宜使用本品的。
分娩:頭孢克洛對分娩的影響尚不清楚。
哺乳母親:哺乳婦女一次口服500mg后,在母乳中測出少量的頭孢克洛,在服后2、3、4和5小時的平均水平分別是0.18、0.20、0.21和0.16mg/L,在第1小時測出痕量藥物。本品對乳嬰的作用未知。給哺乳婦女服用頭孢克洛要謹慎。
【兒童用藥】 兒科使用:對于不具備整片吞服能力的兒童,可將本品分散于水中服用,或服用頭孢克洛其他適宜劑型。
一個月內的嬰兒使用本品的療效和安全性,尚未確立。
兒童常用的每日劑量是20mg/kg/日,每8小時一次。支氣管炎和肺炎的劑量是20mg/kg/日,每8小時一次。在較重的感染(中耳炎)和敏感性稍差的細菌引起的感染,可40mg/kg/日,最大量1g/日。
頭孢克洛分散片
| 兒童體重 |
20mg/kg/日 |
40mg/kg/日 |
|
9kg |
每次0.0625g,每日三次 |
每次0.125g,每日三次 |
|
18kg |
每次0.125g,每日三次 |
每次0.25g,每日三次 |
【老年用藥】 老無此項。參照【用法用量】。
【藥物相互作用】
藥物/實驗室試驗相互作用:在使用本尼迪特氏和費林氏溶液以及使用CLINITEST片,而不是使用TES-TAPE(葡萄糖酶試紙,美國禮來公司)的試驗中,服用頭孢克洛的病人尿中的葡萄糖可能顯示假陽性反應。
頭孢克洛和口服抗凝劑同服時抗凝作用增強罕見報道。與其它β內酰胺類抗生素一樣,頭孢克洛經腎排泄受到丙磺舒(Probenecid)的抑制。
【藥物過量】 體征和癥狀:服用過量的頭孢克洛后發生的毒性綜合癥包括:惡心、嘔吐、上腹不適和腹瀉,上腹不適和腹瀉的嚴重程度與劑量有關。如果存在其它綜合癥,可能是繼發于原有的疾病、過敏反應或其它中毒作用。
治療:在治療過量服用綜合癥時,要考慮多種藥物過量的可能性,藥物間相互作用以及病人藥代動力學方面的差異。
除非服用了頭孢克洛正常量的五倍,否則沒有必要清除胃腸道中的過量藥物。注意保護病人的氣道,維持換氣和灌注。在可接受的限度內,細致地監測和維持病人的生命體征、血氣和血清電解質等。給予活性炭,可以降低藥物經胃腸道的吸收,活性炭在許多情況下比嘔吐和灌洗更有效??紤]用活性炭代替胃排空,或除了胃排空還給予活性炭。多次給予活性炭,可能加速某些已經吸收的藥物的消除。進行胃排空或給予活性炭時,要保護病人的氣道。
強制性利尿、腹膜透析、血液透析或活性炭血液灌注,沒有被證實對頭孢克洛的過量服用有好處。
【藥理毒理】體外試驗表明,頭孢菌素對細菌的作用,在于抑制細菌細胞壁的合成。體外研究表明下列細菌大多數對頭孢克洛敏感,但是對在“適應癥”以外的感染的臨床療效尚不消楚。
革蘭氏陽性需氧菌:葡萄球菌,包括凝固酶陽性,凝固酶陰性和產青霉素酶菌株(用體外試驗法)。頭孢克洛和甲氧苯青霉素之間顯示有交叉耐藥;肺炎球菌;化膿性鏈球菌
革蘭氏陰性需氧菌:分岐枸椽酸菌;埃希氏大腸桿菌;流感嗜血桿菌,包括產生β內酰胺酶,對氨芐青霉素(ampicillin)有耐藥性的菌株;克雷白氏菌屬;卡他莫拉氏菌(布蘭漢氏球菌);淋病雙球菌;奇異變形桿菌
厭氧菌:
擬類桿菌屬(脆弱擬桿菌除外);黑色消化球菌;消化鏈球菌屬;痤瘡丙酸桿菌
注意:假單胞菌屬;醋酸鈣不動桿菌;多數腸球菌;腸桿菌屬;摩氏摩根菌;雷氏變形桿菌;β-內酰胺酶陰性、對氨芐青霉素耐藥的流感嗜血桿菌;吲哚陽性變形桿菌和沙雷菌屬對頭孢克洛耐藥。
注:對甲氧苯青霉素有耐藥性的葡萄球菌以及大多數腸球菌菌株[糞腸球菌(以前稱“糞鏈球菌”)和屎腸球菌(以前稱“屎鏈球菌”)]對頭孢克洛和其它頭孢菌素有耐藥性。頭孢克洛對腸桿菌屬、沙雷氏菌屬、摩根氏變形桿菌、普通變形桿菌和雷極變形桿菌的大多數菌株無活性,對假單胞菌屬或不動桿菌屬也無活性。
三致性(致癌性、致突變性和致畸性):沒有進行研究以測定致癌性或致突變性的可能性,多次生殖研究顯示,沒有使生育力受損害的證據。
【藥代動力學】
頭孢克洛空腹口服后吸收良好。不管本品是否與食物同時服用,總吸收率相同。然而,當本品與食物同服時,達到的峰濃度為空腹者服用后觀察到的峰濃度的50-75%,而且通常要延緩45-60分鐘才出現。給空腹者服用250mg,500mg和lg后30-60分鐘內,分別獲得的平均血清峰濃度約為7,13和23mg/L。在8小時內,約60%-85%的藥物以原形經腎從尿中排泄,大部分藥物在服藥后2小時內排出體外??诜?50mg,500mg和lg的劑量后8小時內,尿中藥物峰濃度分別約為600,900和1900mg/L。本品在正常人體血清中的半衰期為0.6-0.9小時。對于腎功能受損病人,頭孢克洛的血清半衰期稍微延長,對于腎功能完全遭破壞的病人,本品原藥的血漿半衰期為2.3-2.8小時。對于腎功能嚴重受損病人,本品的排泄途徑尚未測出。血液透析使其半衰期縮短25%-30%。
【貯藏】 不超過25℃保存。
【包裝】 聚酯/鋁/聚乙烯復合膜包裝;0.125g:每板6片,每盒1板或2板或3板;0.25g: 每板6片,每盒1板或2板或3板。
【有效期】24個月
【執行標準】 國家藥品監督管理局標準YBH18772023
【批準文號】(1)0.125g:國藥準字H19991435(2)0.25g:國藥準字H20237158
【上市許可持有人】
名 稱:上海金城素智藥業有限公司
注冊地址:上海市金山工業區攬工路958號
郵政編碼:201506
電話號碼:021-80108056
傳真號碼:021-80108050
【生產企業】企業名稱:上海金城素智藥業有限公司
生產地址:上海市金山工業區攬工路958號
郵政編碼:201506
電話號碼:021-80108056
傳真號碼:021-80108050




魯公網安備 37030202000396號 